List Of Monomial Example Problems Ideas
List Of Monomial Example Problems Ideas. The coefficient of a monomial is the number part ( that is at the front ) of the monomial. Our printable monomial addition worksheets, diligently prepared for high school students present an array of single and multivariate monomials for practice.

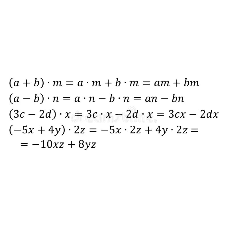
A monomial is an algebraic expression with a single term but can have multiple variables and a higher degree too. Logically, in the product of the coefficients of the monomials the sign rules also apply, since multiplication consists of an arithmetic operation. We identify and multiply the coefficients:
A Positive Monomial Times Another Positive Monomial Is Equal To A Positive Monomial:
Monomials are the building blocks of polynomials and are called 'terms' when they are a part of larger polynomials. An example of a monomial in this format with a coefficient, variable, and exponent is {eq}36x^3 {/eq}. For example, the expressions 5a, 3ab2 and −62aa2b3 are monomials.
Product Of Powers Property Can Be Used To Find The Product Of Monomials.
Our printable monomial addition worksheets, diligently prepared for high school students present an array of single and multivariate monomials for practice. The exponent of the x is 2. Find the product of the following monomials.
When Simplifying Monomials, You Will Need To Use All Of This Information.
Finally, you must remember that in the division of the coefficients of monomials the sign rules also apply, since the algebraic division of. Mathematically define a monomial as a polynomial with only one variable describe how to add, subtract, multiply and divide monomial expressions. {eq}6x^2y^3z^5 {/eq} the degree of this monomial is the sum of the exponents of the x, y, and z respectively.
For Example, Number 9 Is A Monomial, Variable X Is A Monomial, Power 52 Is A Monomial.
A monomial is an algebraic expression containing only one term. Definition of a monomial in algebra with introduction and possible cases with examples to learn how monomials are formed in algebraic form. A monomial can also be a variable, like b or y. it can also be a combination of these, like 98b or xy.
(5X )(3X 2 Y) Step 1.
We identify and multiply the coefficients: May 06, 22 12:31 am. The coefficient of the monomial 2x is 2.